Ruizhu Chen & Yang Liu
W. W. Hansen Experimental Physics Laboratory, Stanford University, Stanford, CA 94305-4085
Usually synoptic maps of radial magnetic field are made from the line-of-sight magnetograms [1] by assuming that the field is radial. This radial field, Mr, can be computed as Mr = Mlos/cosμ, where μ is the center-to-limb angle. Mr may depart from the true radial field, Br. The difference can be pronounced where the field is not primarily radial, such as in strong-field regions.
Figure 1 | Median of field strength as a function of center-to-limb distance derived from 709 full-disk vector magnetograms in 2011.
To estimate the differences between the two, we select a total of 8000 HMI full-disk vector magnetograms [2] with a cadence of one hour for this work. For each vector magnetic field datum, the Br from the vector field data and Mr (the calculated line-of-sight field) determined from the same vector data by Mr = B cos(θ)/cos(μ), are calculated. B cosθ is the line-of-sight field, where B is the field strength and θ is the inclination angle. Then, both Br and Mr are rebinned from their original size of 4096 × 4096 to 512 × 512. This way, there are about 8000 pairs of Br and Mr at each location across the solar disk. For each location, the ratio Br/Mr is calculated, excluding the pairs where the field strength is less than a threshold or Br and Mr have opposite signs. The threshold depends on the center-to-limb distance, as shown in Figure 1. A description of how to derive the threshold is given in the next paragraph. The median of the Br/Mr ratios from the selected pixels is chosen as the Br/Mr ratio for this location. This procedure is repeated over the entire solar disk, and a map of Br/Mr is obtained, shown in Figure 2a.
Figure 2 |(a) Ratio of Br/Mr over the Sun’s disk derived from more than 8000 individual full-disk vector magnetograms taken in 2011. Green circles refer to the distances to the disk center. See the text for more details. (b) Br/Mr as a function of the distance to the disk center derived from the data of the rescaling ratio mask shown in Figure 2 by dividing the mask into annuli with a width that ensure that the total number of pixels in each annulus remains the same. Br/Mr is an average of the data in each annulus. The error bar refers to the rms of the average in the annulus. The red curve represents a 2-order polynomial (y = 0.92 + 0.10x + 1.43x2) that fits the data points within 0.8Rs.
The threshold of the field strength shown in Figure 1 is derived from 709 full-disk vector magnetograms obtained in 2011. The data were taken at 06:00 UT and 18:00 UT each day when the orbital velocity of the satellite reached its minimum. The magnetograms are firstly rebinned from 4096 × 4096 to 512 × 512, and then we calculate the median field strength and its standard deviation in each concentric annulus with a width of 0.05 solar radii. Since many pixels sample quiet-Sun regions where the magnetic field is very weak and the magnetic signal is below the noise level, the median of the measured field strength is deemed to be the noise level. Figure 1 shows this median that depends on the distance from the center to the limb. This is used as a threshold to select the data for calculation of the Br/Mr described in the previous paragraph.
The Br/Mr mask (see Figure 2a) is further divided into annuli such that each annulus contains an equal number of pixels. For each annulus, the average of Br/Mr and its standard deviation (σ) are calculated. The average in each annulus is shown in Figure 2b. The error bar represents one σ.
We then carry out numerical experiments to explain the observational results (Figure 2b), which show that (1) Br is generally greater than Mr; and (2) the ratio depends on the center-to-limb distance.
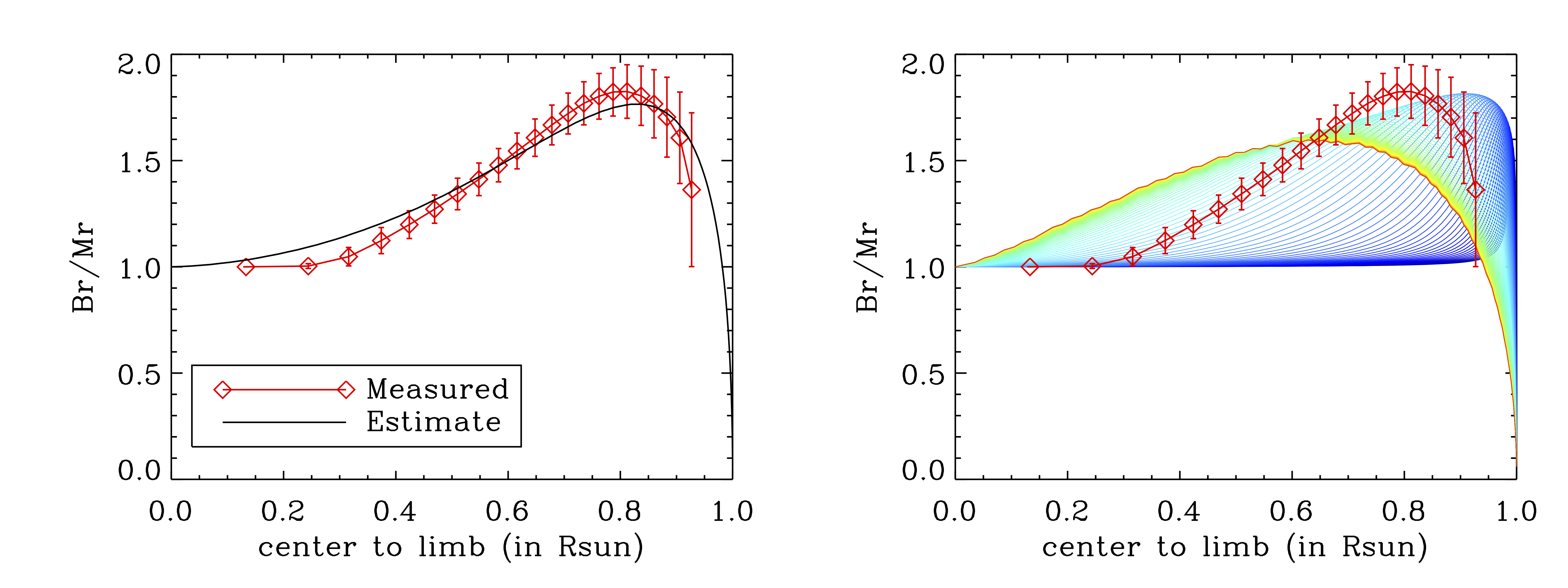
Figure 3 | Left: The ratio of Br/Mr as a function of center-to-limb distance from a numerical simulation in black and observations in red diamonds. The FWHM for this experiment is 85◦. Right: Br/Mr as a function of center-to-limb distance from various simulations with different FWHM of the Gaussian functions in rainbow. Overplotted with red diamonds is the Br/Mr measured from data. The range of FWHM is from 0.1π (blue curve) to 10π (red curve), effectively approaching a uniform distribution.
We assume that the distribution of the angle between the solar magnetic field and the local radial direction on the solar surface is a Gaussian function, with its peak at zero degrees. This implies that the magnetic field tends to be radial. With this distribution, we can estimate the ratio Br/Mr in a statistical manner. Shown in Figure 3 are the test results, overplotted in red diamonds representing the measured Br/Mr. The black curve in the left panel represents the Br/Mr estimated by an angle distribution modeled by a Gaussian function with a Full Width at Half Maximum (FWHM) of 85◦. The shapes of the curves are qualitatively similar: they start near unity, gradually increase with the center-to-limb distance, reach a maximum around 0.8Rs, and then decrease rapidly toward the limb. This indicates that the numerical model reproduces the variation of Br/Mr with the center-to-limb distance, as revealed by observation. When the FWHM of the Gaussian function changes, the general pattern still remains – the ratio increases initially and then decreases as the center-to-limb distance increases. But the peak of the curves shifts toward the limb when the FWHM decreases, as shown in the right panel of Figure 3. The FWHM spans from 0.1π (blue curve) to 10π (red curve), which is roughly equivalent to a uniform distribution.
These tests indicate that Mr is generally underestimated, and this underestimation becomes increasingly severe toward the limb. The effect worsens when the magnetic field more frequently deviates from the radial direction.
A manuscript reporting these results has been accepted for publication in the ApJ. An e-print is available at [3].
References:
[1] Svalgaard, L., Duvall, T. L., & Scherrer, P. H. 1978, Solphys, 58, 2, 225. doi:10.1007/BF00157268
[2] Hoeksema, J. T., Liu, Y., Hayashi, K., et al. 2014, Solphys, 289, 9, 3483. doi:10.1007/s11207-014-0516-8
[3] Liu, Y., Arge, C. N., Jones, S.I., Leisner, A., Chen, R., Hoeksema, J. T., 2026, ApJ., Accepted.
http://jsoc.stanford.edu/~yliu/papers/open_flux_problem.pdf


