Oana Vesa, Junwei Zhao, Ruizhu Chen
W. W. Hansen Experimental Physics Laboratory, Stanford University, Stanford, CA 94305-4085
Solar equatorial Rossby waves are large-scale vortical motions that propagate retrograde relative to the Sun’s rotation. Since their unambiguous detection in near-surface flows, these waves are recognized as potential diagnostic probes of solar interior dynamics[1]. While their surface properties and solar cycle modulation have been studied, their subsurface structure and depth-dependent behavior remain less constrained.
In this study, we investigate the vertical structure of equatorial Rossby waves (±22.5° in latitude) using approximately 14.5 years of SDO/HMI helioseismic flow measurements derived from both ring-diagram (RD)[2] and time-distance (TD)[3] analysis pipelines, spanning depths down to 16 Mm. Both datasets cover Carrington rotations 2097 through 2293, covering most of Solar Cycle 24 (SC24) and the rising phase of Solar Cycle 25 (SC25). The data are sampled at 7.5°/pixel, have a cadence of about 27 hours, and are tracked at the synodic Carrington frequency of 424.3 nHz.
Figure 1. Temporal Fourier sectoral power (top row), cross-power (middle row), and coherence (bottom row) spectra derived from HMI RD radial vorticity at multiple depths. The near-surface reference depth is 1.4 Mm, with deeper layers extending down to 16 Mm. The dashed lines outline the nominal Rossby wave ridge. The power spectra show the expected retrograde wave signal at all depths. With increasing depth, coherence along the ridge strengthens, while incoherent background power diminishes.
We compute the radial vorticity ζ(θ, φ, t) and perform spherical harmonic decomposition, focusing on sectoral azimuthal degrees (ℓ = m). In the temporal Fourier domain, Rossby waves appear as distinct ridges at the expected retrograde frequencies. Figure 1 shows the sectoral power, cross-power, and coherence spectra at multiple depths. With increasing depth, coherence along the Rossby wave ridge strengthens, while incoherent background power diminishes. This behavior indicates that the signal remains well organized across subsurface layers.
To isolate this signal, we apply a filter in temporal Fourier space centered on the nominal Rossby wave ridge and select a ±30 nHz window around the peak frequency for each m. After filtering, we perform an inverse Fourier transform to return to the time domain of the spherical harmonic coefficients. These filtered complex coefficients are then used to compute two quantities between the near-surface reference depth and deeper layers:
1. cross power, which measures the joint amplitude of the wave structure across depths; and,
2. normalized phase difference (Δφm(d0, di)/m), which measures the longitudinal displacement of the wave pattern with depth.
In this science nugget, we focus primarily on the latter. Negative phase differences indicate deeper layers lead shallower ones in longitude, corresponding to a retrograde tilt relative to solar rotation.
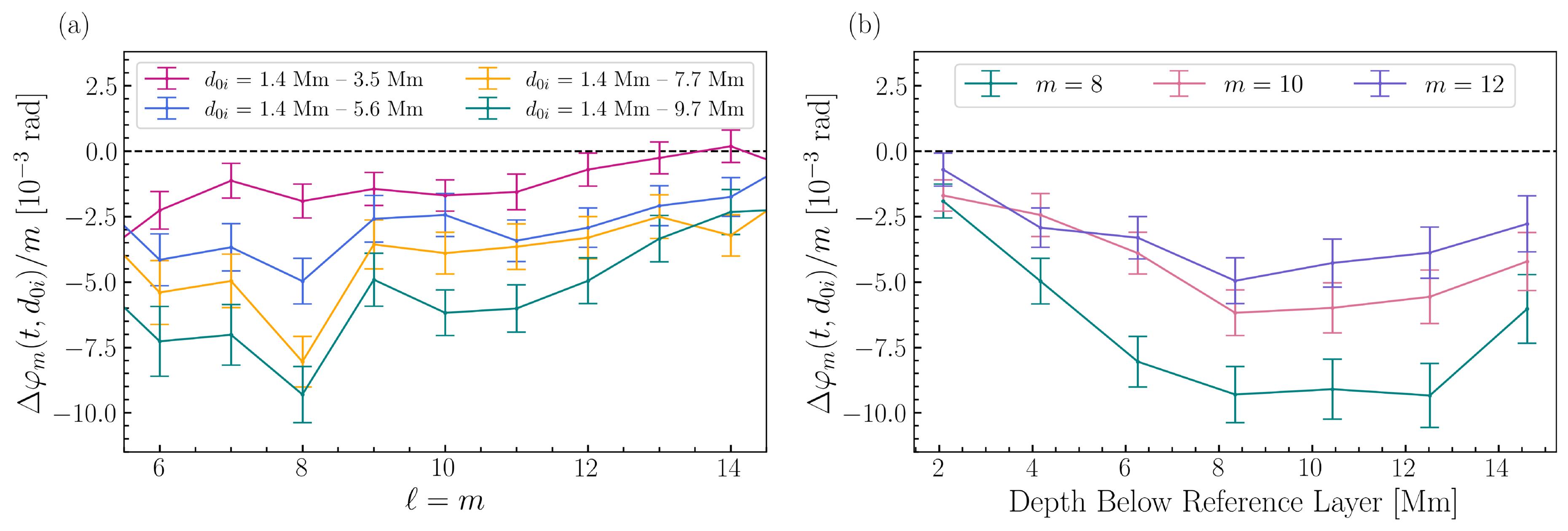
Figure 2. Long-term averaged normalized phase differences derived from the complex spherical harmonic coefficients of RD radial vorticity between a near-surface reference depth (1.4 Mm) and multiple subsurface layers, averaged over 14.5 years. (a) Normalized phase differences for 6 ≤ m ≤ 14, showing increasingly negative phases with depth. (b) Normalized phase differences as a function of depth for m = 8, 10, and 12.
We first examine the long-term behavior of these phase differences by averaging over the full time period, focusing on 6 ≤ m ≤ 14, where the coherence is strongest (see Figure 1). As shown in Figure 2, the phase differences are predominantly negative and increase in magnitude with depth. Although the phase differences are small, this depth-dependent trend is consistent across both the TD and RD datasets. These results indicate that deeper layers consistently lead shallower ones in phase, implying that Rossby waves have a tilted structure with depth. Equatorial Rossby waves, therefore, exhibit a retrograde tilt beneath the surface rather than a purely columnar structure.
Figure 3. Temporal evolution of the normalized phase differences for select m modes (6 ≤ m ≤ 11) derived from the complex spherical harmonic coefficients of RD radial vorticity for multiple depths. Error bars represent standard errors across time segments. The sunspot number is shown in gray for comparison with the solar cycle.
We then investigate whether this tilted structure varies with the solar cycle. The data are divided into 3 year moving windows with a 0.5-year step size, allowing us to track the temporal evolution throughout SC24 and into SC25. Figure 3 shows the temporal evolution of Δφm(d0, di)/m for select m modes. While small fluctuations are present, the overall depth-dependent trend remains stable over time. In contrast to the cross power, which increases during solar maximum and decreases toward solar minimum, the phase differences show no strong or consistent modulation with solar activity. The retrograde tilt of Rossby waves appears to remain stable throughout the solar cycle.
This work provides new observational constraints on the vertical structure of equatorial Rossby waves. The presence of longitudinal phase differences with depth suggests that these waves may participate in angular momentum redistribution through their coupling with differential rotation and/or magnetic fields. Continued HMI observations through SC25 and simulations are necessary to clarify this. For more details, please refer to our recent publication [4].
References:
[1] Löptien, B., Gizon, L., Birch, A. C., et al. 2018, NatAs, 2, 568
[2] Bogart, R. S., Baldner, C., Basu S., et al. 2011, J. Phys.: Conf. Ser., 271, 012008
[3] Zhao, J., Couvidat, S., Bogart, R. S., et al. 2012, Solar Phys, 275, 375
[4] Vesa, O., Zhao, J., and Chen, R. 2026, ApJ, 997, 343


